Im in the same boat, feel fine myself. I think most people will probably be concerned about stereoisomers, even if they are non detectable there are almost inevitably a small percentage of them after even the most rigorous cleanup, I think a lot of people would probably choose the natural version due to this reason.
Boy, I’m not sure about merging threads after the way it reads…
I’m sure a couple edits will clean it up.
THC is THC is THC. I’m not concerned about the THC, I’m concerned about the rest of the shit you make in your conversion that nobody can readily identify. Id never be comfortable feeding customers unknown reaction products. That’s just irresponsible to me. The only way I can see converted Cannabinoids being offered to the public is if they were all rigorously chromatographied.
exactly. unless i can get some 99.9% identified TAC im not fucking with it
Hell, I’d be down to smoke some d8 disty with 99% TAC any day. I doubt a soul will produce something like that though since people are making d8 for the purpose of profits.
Chromatography isnt hard. Ive seen conversions of 99%+ tac after conversion.
Also i said i say tell the people it is what its is. Not try to swindle them. Let them decide if its something they want.
So you wouldnt fuck with a 70% delta 8 29.9% d9 disty?
corrected my original post to reflect 99.9 identifed TAC
Its not any more potent imo but the high is more relaxing and a body buzz instead of a head high.
The word you might be looking for is psychedelic or psychotropic for D8/D9.
All the common minor cannabinoids are psychoactive until proven otherwise. Psychoactive simply means that something can act on mental state/psychology, so anything that is effective for anxiety, depression etc is psychoactive by definition.
That includes CBD, CBG, and CBC and others often claimed to be non-psychoactive.
Anything that can impact mood is considered psychoactive.
D8 is less psychoactive and psychadelic than D9 but substantially more so than CBD or CBG.
A decent dose of D8 will make people high.
So it’s been a year or so @Rowan.
So far, the future has gifted us with people attempting the following:
CBD-> D9
THC-O-Acetate
HHC
CBN-0
THCP
CBT and CBC synths (poss. From CBG)
THCA-a/THCa-b
D6? Link to paper
Various -varins
D10, 11, 12
No claims yet for D1-6
D7 is basically just Pepsi made from Coke (first performed by LN)
All bullshit aside, what new stuff is out?
Add HHC, CBN-0
seen a few more isomers of thc popping up lately too
Im still waiting on someone who can synth me the HU- compound that shows efficacy in treating blood disorders such as lupus and… covid-19
It has been patented recently by some cunts who brought it to human trials but covid slowed everything down methinks, big pharma ball gag yadda yadda
I think i found a way to circumvent the patent via some tricky tricks involving creative plant cell tissue culturing and biosynthesis but im based on 100% theory and a fuck ton of research
Cannabis is fucking boring me right now, im working on setting up an insulin lab and taking serious interest in tissue culture science and biosynthesis/fermentation
Also im still homeless technically, have been for years now- trying to finish my LLE columns, i tried to go camping with @sidco labor day weekend and ended up in a prison camp in the middle of nowhere oregon, i was sporting full regalia at midnight, rolled up with rifle in hand and had to play jedi mind tricks with the guards, im pretty sure my left brain is suicidal and is actively at war with my right brain but im just the poor sap who gets to watch the outcome, me and the cops that is.
Getting high is the last thing I think of with legal weed. We could end the use of plastics, renewable paper, insane source of protein, so much so it could end world hunger…
There is synthetic CBT and CBC but IIRC they start with olivetol
Can’t forget the most high demand one… CBD>pure D9
Some have made THCA-a/THCa-b
I thought there was a cbg to cbc path
Anything else I should add?
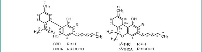
No need to worry about those. The ring numbered 1-5 and 10b is all saturated with double bonds in THC.
There won’t be any d6, d12, or d13 either (those H3C bonds in the lower left on THC are numbered 12 and 13). There are plenty of stereoisomers people could theoretically separate but that’s both expensive and this was already getting stupid a while ago.
